辉达娱乐

产品 案例 关于

资讯详情
钣金加工件坯料尺寸的确定

钣金加工件放样时的坯料尺寸由零件的展开尺寸、工艺变量(伸长或收缩量)与加工余量三部分组成,其确定方法见表5-13

钣金加工件坯料尺寸的确定方法以筒节和90°压制弯头为例进行说明。

表5-13钣金加工件坯料尺寸的确定方法

表5-14修正系数Kπ值

表5-15边缘加工余量t

1)筒节放样尺寸的确定

1)卷制筒节周长l。其计算公式为:l=Kπ(Dn+S+2t,式中 K——修正系数,见表5-14

Dn——筒节直径,mmS——工艺变量(伸长或收缩量);t——边缘加工余量,mm

2)环缝加工余量。薄壁筒节每端余量见表5-15。厚壁筒节的端部错位矫正困难,每端应放出718mm

290°压制弯头放样尺寸的确定

图5-1090°压制弯头

90°压制弯头放样尺寸的确定如图5-10所示。可用试验法确定钣金加工件坯料尺寸。

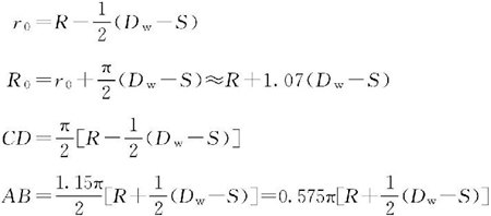
试验法确定其坯料尺寸各计算公式为:

试验法确定其坯料尺寸各计算公式为:

注意周边应放1535mm余量作下料划线。

返回列表
上一篇
下一篇
var _hmt = _hmt || []; (function() { var hm = document.createElement("script"); hm.src = "https://hm.baidu.com/hm.js?25a8b6ddd6dc7b9a90aeb1f51e218aa6"; var s = document.getElementsByTagName("script")[0]; s.parentNode.insertBefore(hm, s); })(); LOGIN_辉达娱乐_「爱生活,玩辉达」 - pghd 辉达娱乐 – 简单注册,畅享丰富娱乐内容,安全保障 - pghd 美彩国际·(中国区) - 官网 - pgmc 美彩国际 - 美彩注册辉达娱乐 - pgmc 美彩国际 - 安全购彩官网 - pgmc